Immuuntekort overwinnen met allogrooming
Oct 19, 2023
Eenvoudige samenvatting:
We onderzochten of twee nauw verwante termietensoorten verschillen in hun afhankelijkheid van sociale of individuele immuniteit tegen twee soorten pathogene schimmels, die allemaal op dezelfde locatie werden verzameld. Onze resultaten geven aan dat wederzijdse verzorging (allogrooming) zeer effectief is in het beperken van dodelijke infecties in die mate dat het de relatief zwakke individuele immuunafweer kan compenseren. Nadat ziekteverwekkers zijn aangetroffen, gebruiken termieten een alternatieve strategie om sociale afstand te nemen en de verspreiding van besmettelijke ziekten te beperken, en komen ze in plaats daarvan samen om elkaar schoon te maken. Variatie in de intensiteit van deze gedragsreactie duidt op een genuanceerde reactie op het dreigingsniveau.

voordelen van cistanche-supplementen: verhoging van de immuniteit
Abstract:
Allogrooming lijkt bij veel sociale dieren essentieel te zijn ter bescherming tegen routinematige blootstelling aan parasieten. Bij sociale insecten lijkt het van cruciaal belang te zijn voor het verwijderen van pathogene propagules uit de cuticula voordat ze een infectieuze cyclus kunnen starten. Voor ondergrondse termieten omvat dit schimmelsporen die vaak in de bodem voorkomen, zoals Metarhizium conidia, die snel kunnen ontkiemen en de cuticula kunnen binnendringen. We onderzochten of er een verschil is in de afhankelijkheid van sociale en aangeboren immuniteit bij twee nauw verwante ondergrondse termieten voor bescherming tegen dodelijke infecties door twee lokaal aangetroffen Metarhizium-soorten. Onze resultaten geven aan dat de relatief zwakke aangeboren immuniteit bij één termietensoort wordt gecompenseerd door meer aanhoudende allogrooming. Dit omvat verbeterde allogrooming als reactie op conidiaconcentraties die meer routinematige contaminatie van de cuticula weerspiegelen, evenals op zware cuticulaire contaminatie die een genetwerkte noodreactie uitlokt.
Trefwoorden:
sociale immuniteit; aangeboren immuniteit; entomopathogenen; alarmgedrag; eindpunt

cistanche tubulosa-verbetering van het immuunsysteem
Klik hier om de producten van Cistanche Enhance Immunity te bekijken
【Vraag om meer】 E-mail:cindy.xue@wecistanche.com / Whats-app: 0086 18599088692 / Wechat: 18599088692
1. Inleiding
Sociale verdedigingsmechanismen kunnen zeer effectief zijn in het tegengaan van de vatbaarheid voor besmettelijke ziekten, ondanks dat de gezelligheid de verspreiding ervan bevordert [1,2]. Bij termieten en mieren lijkt de evolutie van effectieve sociale mechanismen van immuunafweer de selectieve druk op individuele aangeboren immuunmechanismen te hebben verminderd [3-6]. Nadat ziekteverwekkers zijn aangetroffen, zal de dreiging van ziekten bij sociale insecten afhangen van de werkzaamheid van de aangeboren frontlinieverdediging, waaronder fysieke barrières tegen infectie. Veel schimmelpathogenen produceren aseksuele sporen (conidia) die rechtstreeks de cuticula van het insect kunnen binnendringen. Sociale immuunafweer die de cuticula helpt beschermen, inclusief allogrooming en uitgescheiden antischimmelmiddelen, lijkt vooral belangrijk te zijn bij termieten voor de verdediging tegen Metarhizium spp [7-9]. Metarhizium conidia zijn alomtegenwoordig in de bodem waar veel termieten doorheen bewegen terwijl ze naar voedsel zoeken en concentraties bereiken die een constante dreiging van infectie in stand houden [10]. Foeragerende termieten, zoals soorten van het geslacht Reticulitermes, bewegen zich door de grond om het bereik van hun kolonies uit te breiden en toegang te krijgen tot meerdere voedsellocaties, meestal houtbronnen die op het bodemoppervlak rusten [11]. De ondergrondse netwerken van hun kolonies kunnen zich over tientallen meters uitstrekken, meer dan honderdduizend individuen bevatten en een dichtheid bereiken van meer dan honderd kolonies per hectare [12]. Ze evolueerden van een voorouder met kolonies die beperkt waren tot een enkel stuk hout [13,14]. Deze transitie zou hebben geresulteerd in meer ontmoetingen met roofdieren, ziekteverwekkers en concurrenten en zou samenvallen met de evolutie van een toegewijde, echte arbeiderskaste die gewoonlijk afziet van directe voortplanting. Verbeterde hygiëne is waarschijnlijk van cruciaal belang geweest voor deze transitie en de daaropvolgende straling en het huidige ecologische succes van termieten, wier bijdrage aan houtverval de microbiële afbraak kan overtreffen [15,16] en die klaar lijken te zijn om zich wereldwijd snel uit te breiden naarmate de temperatuur stijgt [17]. . Tijdens de overgang naar foerageren viel een versoepeling van de selectiedruk op aangeboren immuungenen samen met de intensivering ervan op twee genen die uitgescheiden antischimmeleiwitten produceren [6]. Deze eiwitten blijken essentieel te zijn voor het verwijderen van schimmelconidia bij allogrooming. De contrasterende selectieve druk op componenten van individuele aangeboren en sociale verdedigingsmechanismen in het verleden suggereert dat er nog steeds een adaptieve wisselwerking bestaat tussen de afhankelijkheid van termieten van individuele aangeboren en sociale immuniteit voor bescherming tegen schimmelziekten. Dit wordt ondersteund door de waarneming dat aangeboren immuungenexpressie lager is in groepen dan individuen van Reticulitermes-werknemers die zijn blootgesteld aan Metarhizium conidia [18]. Allogrooming vermindert de noodzaak om het interne immuunsysteem te activeren. In deze studie onderzochten we verschillen in sociale en aangeboren immuniteit bij twee soorten ondergrondse termieten tegen twee lokale soorten Metarhizium die elkaar op natuurlijke wijze tegenkomen. De Metarhizium-soorten werden geïsoleerd uit de grond onder of naast boomstammen waarin termieten werden verzameld. De twee termietensoorten, Reticulitermes virginicus en Reticulitermes flavipes, werden verzameld op dezelfde locatie in Maryland. Hoewel ze agonistisch lijken, worden ze vaak naast elkaar of zelfs af en toe in hetzelfde blok foeragerend aangetroffen. Interspecifieke agressie tussen werknemers resulteert vaak in dodelijke wonden in petrischaal-agonismetesten [19]. Eerder is aangetoond dat de antischimmelactiviteit van cuticulaire spoelingen van R. virginicus-werknemers effectiever is bij het inactiveren van Metarhizium conidia dan spoelingen van R. flavipes-werknemers [20]. Dit suggereert dat, hoewel deze twee termieten nauw verwant zijn en dezelfde ziekteverwekkers tegenkomen, ze kunnen verschillen in hun afhankelijkheid van individuele aangeboren of sociale immuniteit. We hebben een vergelijkende benadering gebruikt om te onderzoeken of er een verschil bestaat tussen het vertrouwen op en de integratie van sociale en aangeboren immuniteit en of er een mogelijke afweging tussen beide bestaat. Verbeterde sociale immuniteit kan in verband worden gebracht met minder effectieve aangeboren immuunmechanismen, waaronder mogelijk de potentie van uitgescheiden antischimmelmiddelen, en omgekeerd. Een zwakkere individuele immuniteit kan worden gecompenseerd door een effectievere sociale immuniteit. Het overlevingsvermogen van termietenarbeiders in het late stadium in groepen van twaalf, paren of eenlingen werd onderzocht nadat ze waren uitgedaagd met schimmels van Metarhizium robertsii of Metarhizium brunneum. Groepen van twaalf werknemers werden kortstondig blootgesteld aan een hoge dosis van de schimmel. Deze potentieel fatale concentratie veroorzaakt vergelijkbare gedragsreacties als die waargenomen wanneer termieten een sporenvormend kadaver tegenkomen, en in sommige gevallen een substantiële toename van een alarmreactie uitlokken die resulteert in snelle longitudinale oscillerende bewegingen, LOM's [21-23]. De frequentie van LOM's in de eerste 12 minuten nadat termieten zijn blootgesteld aan conidia van verschillende stammen en soorten Metarhizium is positief gecorreleerd met de frequentie van aanvallen van allogrooming. LOM's, die gemakkelijker te meten zijn dan allogrooming, kunnen daarom worden gebruikt als een indirecte maatstaf voor allogroomingniveaus. Detectie van de schimmel lijkt te worden uitgesteld totdat de oppervlakken van termieten besmet zijn met conidia, wat suggereert dat herkenningsreceptoren geassocieerd met monddelen van cruciaal belang zijn voor het ontstaan van verhoogd alarm en allogrooming. Paren en eenlingen werden blootgesteld aan een lage dosis van de schimmel, die waarschijnlijker de blootstellingsniveaus weerspiegelt die termieten tegenkomen wanneer ze galerijen door de grond bouwen, in tegenstelling tot directe ontmoetingen met sporenvormende kadavers. In tegenstelling tot afzonderlijke termieten zijn termietenparen bij deze dosis gedurende 10 dagen vrijwel volledig resistent tegen dodelijke infecties. Om de sociale en aangeboren immuniteit bij deze lage dosis uit elkaar te halen, werden paren termieten op verschillende tijdstippen gescheiden kort na uitdagingen met schimmelconidia, en het overlevingsvermogen van deze paren werd vergeleken met eenlingen die geen mogelijkheden hadden voor sociale interacties na uitdagingen met schimmels. Allogrooming en LOM's werden waargenomen vóór de scheidingstijdstippen van termietenparen. Bovendien werd de antischimmelactiviteit van ruwe extracten van hele termieten getest om de verschillen in aangeboren immuniteit tussen de twee termietensoorten als reactie op de twee soorten schimmels verder te beoordelen.

Voordelen van cistanche tubulosa-versterk het immuunsysteem
2. Methoden
2.1. Bestudeer Organismen
De termieten R. flavipes en R. virginicus, en de schimmels M. brunneum en M. Roberts, werden verzameld uit loofbos met secundaire groei in Baltimore County (Pleasant Hills en Monkton), Maryland. Termietensoorten werden geïdentificeerd met behulp van intra- en interspecifieke agonismetests [19] en mitochondriale rRNA-sequenties [4]. De Metarhizium-soorten werden geïsoleerd uit bodemmonsters nabij verzamelplaatsen voor termieten (<30 cm) using a baiting technique with Tenebrio molitor larvae [24]. The conidia and mycelia of two clonal lines of the species were used for DNA purification with a QIAGEN DNeasy Blood and Tissue kit. The 50 regions of translation elongation factor 1-alpha were PCR-amplified using PCR primers EF1T and EF2T [25]. These regions were Sanger-sequenced (Psomagen, Rockville, MD) for species identification. Foraging groups of R. flavipes and R. virginicus (>1000) en het hout waarin ze voerden werd verzameld en opgeslagen in plastic containers onder donkere, vochtige omstandigheden bij 25 ◦C. Termieten die tot dezelfde soort behoren, werden verzameld op locaties die minstens 60 meter van elkaar verwijderd waren, wat meestal voldoende is om ervoor te zorgen dat de collecties afkomstig zijn uit verschillende kolonies [12]. Deze afzonderlijke collecties worden hieronder kolonies genoemd. Termieten werden verzameld in de zomer van 2018 en 2019 voor de experimenten met de groepen van 12 en voor in vitro experimenten met ruwe termietextracten, en in 2021 en 2022 voor de experimenten met paren en eenlingen. Termieten werden binnen vier maanden na verzameling in hun respectievelijke experimenten gebruikt. Werknemers werden voorzichtig uit de stukken hout gehaald en gedurende 24 uur bij omgevingslicht in groepen van petrischalen met een diameter van 12 55 mm, bekleed met bevochtigd filterpapier (Whatman 1) gehouden voordat ze voor onze experimenten werden gebruikt. Hierdoor konden ze acclimatiseren aan het licht en hun cuticulaire oppervlakken ontdoen van deeltjes voordat ze aan de schimmel werden blootgesteld. We hebben soldaten niet meegenomen omdat ze geen nestgenoten verzorgen, 1 à 2% van de kolonie vertegenwoordigen en niet consequent worden aangetroffen in foerageergroepen.
2.2. Overlevings- en alarmreactie voor groepen van twaalf
Groepen van 12 R. flavipes- of R. virginicus-werknemers werden blootgesteld aan een hoge dosis 10 6 conidia ml−1 van 0.05% Tween 80 (MilliporeSigma , Burlington, MA, VS) of 0,05% Tween 80 voor controles. Tween 80 werd toegevoegd om te helpen bij het afbreken van klonten conidia bij het bereiden van de suspensies. De dag vóór deze behandelingen werden alle twaalf termieten gemarkeerd met een klein stipje gekleurde emailverf op de dorsale zijde van hun buik, zodat ze individueel konden worden geïdentificeerd. Allogrooming verwijderde de verf bij een paar individuen, maar deze individuen konden op het moment van overlijden nog steeds individueel worden geïdentificeerd door het onderzoeken van de overlevenden en door natuurlijke individuele variatie bij de arbeiders, zoals de mate van donkere verkleuring in de buik. De termieten die voor elke replica van 12 uitgedaagde termieten en controles werden gebruikt, waren afkomstig uit verschillende kolonies. Er werden vijf kolonies gebruikt voor zowel R. flavipes als R. virginicus (n=480 werksters). Experimenten met M. Roberts-kolonies werden na drie maanden herhaald om te testen op consistentie in overlevingskansen. In totaal waren er 60 replicaties van 12 of 11 termieten (n=709). In 11 replica's stierf een termiet vóór blootstelling aan schimmels, wat te wijten leek te zijn aan het hanteren bij het markeren van verf. Termieten werden blootgesteld aan conidia bereid uit een klonale cultuur van M. Roberts of M. brunneum. Werknemers werden toegevoegd aan buizen van 1,5 ml die 500 µl van de conidia-verdunningen bevatten, of 0,05% Tween 80 voor controles, met een kleine plastic trechter en gedurende 10 seconden zachtjes geschud om volledige onderdompeling te garanderen. De arbeiders werden vervolgens op filtreerpapier afgezet om overtollig vocht te absorberen, overgebracht naar petrischalen met een diameter van 55 mm bekleed met bevochtigd filtreerpapier (Whatman 1) en video opgenomen gedurende 12 minuten. De sterfte werd gedurende twee weken dagelijks gecontroleerd. Dode individuen werden verwijderd, het oppervlak werd gesteriliseerd met 70% ethanol en op vochtig filtreerpapier in petrischalen (55 mm) geplaatst die op 24 °C en 100% vochtigheid werden gehouden ter bevestiging van Metarhizium-infectie (groei van groene muscardine na 3-4 dagen). Het totale aantal LOM's dat gedurende 12 minuten in de video's werd waargenomen, werd voor elke termiet gescoord. LOM's duurden tussen de 2 en 7 seconden en moesten zijn gestopt en vervolgens hervat om als afzonderlijke gebeurtenissen te worden gescoord [23].
2.3. Overleving en allogrooming voor paren en singletons
Het overlevingsvermogen van termietenparen werd vergeleken met die van eenlingen na blootstelling aan een lage dosis (104 conidia ml−1 ) conidia die geen overmatige sterfte veroorzaakte en waarschijnlijk de concentraties weerspiegelt die termieten tegenkomen wanneer ze zich door de bodem verplaatsen [10]. . Paren en eenlingen werden vergeleken om de overleving te meten die werd geboden door sociale verdedigingsmechanismen. Groepen van 12 werknemers werden aanvankelijk uitgedaagd met of zonder schimmels zoals hierboven beschreven, behalve dat conidiale suspensies van ongeveer 107 conidia ml-1 werden bereid in 0,1% Tween 80 en krachtig gewerveld vóór verdunningen met steriel water tot 104 conidia ml-1. Tween 80 werd niet in de verdunningen opgenomen omdat suspensies van individuele conidia in lage concentraties konden worden gehouden en omdat de oppervlakteactieve stof de hechting van conidia aan de cuticula zou kunnen verstoren. Deze personen waren niet met verf gemarkeerd. Onmiddellijk na de behandelingen en voordat termieten de kans kregen om te interageren, werden ze in paren of eenlingen verdeeld in de putjes van plastic celkweekplaten met putjes (CELLTREAT Scientific, Pepperell, MA). Elk putje werd bekleed met bevochtigd filtreerpapier (Whatman 1). Voor elke combinatie van termieten en schimmels (n=4) werden na 15 minuten, 2 uur, 5,5 uur, 8 uur en 27 uur (n=160) vier termietenparen gescheiden in singletons, en voor elke combinatie van termieten en schimmels 12 termieten die nooit de kans hebben gehad om te interageren, werden gescheiden in met schimmels behandelde of controle-eenlingen (n=96). Deze individuele termieten werden ook verdeeld in 24-putjesplaten bekleed met filtreerpapier. De sterfte van de termieten werd vervolgens gedurende tien dagen gevolgd en dode individuen werden verwijderd om de infectie door Metarhizium te bevestigen. Er werd één enkele kolonie gebruikt voor zowel R. flavipes behandeld met M. robertsii of M. brunneum als R. virginicus behandeld met M. robertsii of M. brunneum (n=256). Zes onbehandelde paren werden voor elke soort ook gedurende 10 dagen in 24-putjesplaten gehouden. Een afzonderlijk experiment met dezelfde kolonies was gericht op het vastleggen van allogrooming vóór de scheidingstijden van de paren op 15 minuten, 2 uur, 5,5 uur, 8 uur en 27 uur. Zes verschillende paren van elke termietensoort werden behandeld met elke schimmel of water voor controles en beoordeeld op allogrooming gedurende 15 minuten vóór de scheidingstijdstippen (n=180). Allogrooming-gebeurtenissen werden gescoord wanneer mond-op-lichaam contact tussen twee termieten de beweging van monddelen (palpen) met zich meebracht, en de duur van elke ononderbroken allogrooming-gebeurtenis werd geregistreerd. Allogrooming werd gescoord door één enkele waarnemer die blind was voor de behandeling die termieten hadden gekregen. Er werden ook LOM's gescoord, maar deze waren te verwaarlozen en werden niet gebruikt in de analyse. Zelfverzorging werd niet waargenomen.

Voordelen van cistanche tubulosa-versterk het immuunsysteem
2.4. In vitro antischimmelactiviteit
Twaalf werksters uit 5 kolonies van R. flavipes of R. virginicus werden koud geïmmobiliseerd in Eppendorf-buisjes van 1,5 ml, en aan elke buis werd 120 µl koud, steriel water toegevoegd. De werksters van beide soorten die in dit onderzoek werden gebruikt, waren ongeveer even groot (lengte 4-5 mm). De termieten werden gehomogeniseerd met een plastic stamper en het extract werd gedurende 2 minuten bij 16,000 g gecentrifugeerd. Het supernatant werd filtergesteriliseerd met 0,22 µm Ultrafree filters (MilliporeSigma, Burlington, MA, VS). Tien µl van het filtraat werd 24 uur geïncubeerd met tien µl met 100 conidia van M. robertsii of M. brunneum en 20 µl 100 µg ml-1 ampicilline om bacteriële contaminatie verder te voorkomen. De controles omvatten 10 µl steriel water in plaats van het ruwe extract. Twee replicaties voor elk geïncubeerd mengsel werden verspreid op aardappeldextrose-agar (PDA), aangevuld met 50 μg ml-1 ampicilline (petrischalen van 60 mm) en gedurende 4-5 dagen bij kamertemperatuur in het donker geïncubeerd. De antischimmelactiviteit werd gemeten door kolonievormende eenheden (CFU's) in behandelingen met ruwe extracten te vergelijken met controles.
2.5. Statistieken
Kaplan-Meier-schattingen van de gemiddelde overlevingstijden werden gebruikt voor paarsgewijze vergelijkingen van overlevingskansen. Hazard ratio's van overlijden (HR's) werden berekend met Cox-regressieanalyse. We hebben Cox-regressie gebruikt om verschillen in sterfte te onderzoeken tussen individuen die LOM's vertonen of geen LOM's vertonen, terwijl we controleren voor andere categorische variabelen (behandeling of bestrijding van schimmels, soorten schimmels, soorten termieten, kolonie van herkomst). LOM's werden gecategoriseerd als afwezig of aanwezig bij individuen vanwege de frequentie van uitschieters en het gebrek aan normaliteit. In de overlevingsanalyse met termietenparen en eenlingen was de HR gebaseerd op een vergelijking tussen met conidia behandelde paren (gescheiden op verschillende tijdstippen) en met conidia behandelde eenlingen. Deze HR's bieden daarom een maatstaf voor overleving die wordt geboden door sociale verdedigingsmechanismen, terwijl ze tegelijkertijd controleren op individuele verdedigingsmechanismen. Het verband tussen de tijd die we als koppel doorbrachten en de verandering in HR werd gemeten met Pearson-correlaties. De verdeling van LOM's over verschillende behandelingen werd vergeleken met een Kruskal-Wallis-test met Bonferroni-correcties voor meerdere testen voor paarsgewijze vergelijkingen. De gemiddelde CFU of duur van allogrooming-gebeurtenissen werd vergeleken met een ANOVA-test met Bonferroni-correcties voor paarsgewijze vergelijkingen. Voor de statistische tests hebben we IBM SPSS Statistics (versie 28) gebruikt.
3. Resultaten
3.1. Overleving en alarm van uitgedaagde groepen van twaalf
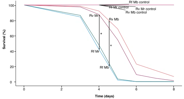
The Cox regression model of survivorship that included categorical variables for fungal treatment, LOMs, termite species, fungi species, and a colony of origin was significant (Chi-square = 246.29, df = 12, p < 0.001). Challenged termites were 9.28 times more likely to die than untreated termites (Wald = 143.05, p < 0.001) while controlling for the other variables. Termites that displayed LOMs (n = 422) were 1.52 times more likely to survive (Wald = 8.30, p = 0.004) than individuals that did not display LOMs (n = 286). R. virginicus workers were 2.08 times more likely to die than R. flavipes workers (Wald = 6.31, p = 0.012). Fungal species did not contribute significantly to the model (Wald = 0.841, p = 0.359). The colony of origin contributed significantly to the model (Wald = 50.16, p < 0.001), which is consistent with previously reported colony variation in Reticulitermes resistance to Metarhizium infections [24]. Survivorship did not differ between the same colony when the experiment was repeated 3 months later with workers that were exposed to M. Roberts (Breslow pairwise comparison, Chi-square = 0.342, p = 0.559). Most deaths in the challenged termites were attributable to Metarhizium infection (>90% bevestiging). Voor bedreigde termieten met M. Roberts werden 129 sterfgevallen waargenomen onder 237 individuen, en de gemiddelde overlevingstijd voor R. virginicus (9,10 dagen) was aanzienlijk lager dan voor R. flavipes (10. 98 dagen)(Breslow=10.05, df=1, p=0.002) (Figuur 1). Voor bedreigde termieten met M. brunneum werden 79 sterfgevallen waargenomen onder 120 individuen, en de gemiddelde overlevingstijd voor R. flavipes (9,70 dagen) was lager dan voor R. virginicus (10,68 dagen), maar niet significant (Breslow=2 .74, df=1, p=0.098). De verdeling van LOM's (Figuur 2) onder schimmelbehandelingen en controlebehandelingen was significant verschillend (Kruskal-Wallis=176.897, df=5, p < 0,001). De frequentie van LOM's was niet significant verschillend tussen behandelingen met M. brunneum en hun respectieve controles voor R. flavipes (aangepast p=0.097) en R. virginicus (aangepast p=1.000 ). De frequentie van LOM's was echter aanzienlijk groter voor M. Roberts-behandelingen vergeleken met hun respectieve controles voor R. flavipes (aangepast p <0,001) en R. virginicus (aangepast p <0,001) (Figuur 2). Voor de behandeling met M. Roberts was de frequentie van LOM's van R. flavipes significant groter dan die van R. virginicus LOM's (aangepast p <0,001). Voor de behandeling met M. brunneum was de frequentie van R. flavipes LOM's echter niet significant verschillend van die van R. virginicus LOM's (aangepast p=1.000). In tegenstelling tot M. brunneum resulteerden groepen van 12 termieten die werden uitgedaagd met M. Roberts conidia in een significante gedragsreactie.
3.2. Overleving van uitgedaagde paren en singletons
Het overlevingspercentage van termietenparen die op verschillende tijdstippen waren gescheiden, kort na de pathogeenuitdaging, werd vergeleken met het overlevingspercentage van uitgedaagde eenlingen met risicoratio's van overlijden (HR's). Een HR van 1 komt overeen met een gelijk overlevingspercentage in de gescheiden paren en singletons gedurende tien dagen. Waarden kleiner dan één geven aan dat er een lagere sterfte is bij de gescheiden paren vergeleken met de eenlingen. De correlatie tussen de tijd die als paar werd doorgebracht en de vermindering van de hartslag was alleen significant voor R. flavipes die werd behandeld met M. Roberts (r=−0.978, p=0.{ {7}}04) of M. brunneum (r=−0.983, p=0.003), en niet voor R. virginicus behandeld met een van beide M. Roberts (r=−0,643, p=0.242) of M. brunneum (r=−0,812, p=0.095). Dit wordt ook weerspiegeld in de R2-waarden uit lineaire regressies weergegeven in Figuur 3 (de tijd werd log-getransformeerd voor de berekening van de Pearson-correlaties en R2-waarden). Er werd geen dood waargenomen bij onbehandelde paren (6 paren voor elke termietensoort) en één sterfgeval bij 16 behandelde paren (4 paren voor elke combinatie termiet/schimmels) die nooit gescheiden waren gedurende 10 dagen.

Figuur 1. Overleving voor groepen van 12. Rf komt overeen met R. flavipes, Rv met R. virginicus, Mr met M. robertsii en Mb met M. brunneum. Significante overlevingsverschillen voor paarsgewijze vergelijkingen waren gebaseerd op Breslow-tests (gegeneraliseerde Wilcoxon-tests). * Significant verschil tussen behandelingen, NS geen significant verschil tussen behandelingen (p< 0.025 Bonferroni adjusted α). The distribution of LOMs (Figure 2) among fungal and control treatments was significantly different (Kruskal–Wallis = 176.897, df = 5, p < 0.001). The frequency of LOMs was not significantly different between M. brunneum treatments and their respective controls for R. flavipes (adjusted p = 0.097) and R. virginicus (adjusted p = 1.000). However, the frequency of LOMs was significantly greater for M. robertsii treatments compared to their respective controls for R. flavipes (adjusted p < 0.001) and R. virginicus (adjusted p < 0.001) (Figure 2). For the M. robertsii treatment, the frequency of R. flavipes LOMs was significantly greater than R. virginicus LOMs (adjusted p < 0.001). However, for the M. brunneum treatment, the frequency of R. flavipes LOMs was not significantly different from R. virginicus LOMs (adjusted p = 1.000). In contrast to M. brunneum, groups of 12 termites challenged with M. robertsii conidia resulted in a significant behavioral response.
Figuur 1. Overleving voor groepen van 12. Rf komt overeen met R. flavipes, Rv met R. virginicus, Mr met M. robertsii en Mb met M. brunneum. Significante overlevingsverschillen voor paarsgewijze vergelijkingen waren gebaseerd op Breslow-tests (gegeneraliseerde Wilcoxon-tests). * Significant verschil tussen behandelingen, NS geen significant verschil tussen behandelingen (p< 0.025 Bonferroni adjusted α). For the survivorship of pathogen-challenged single termites (Figure 4), 47 deaths were observed among 48 individuals, and the mean survival time for R. flavipes (4.21 days) was significantly lower than for R. virginicus (6.17 days)(Breslow, chi-square = 33.927, df = 1, p < 0.001). This relationship held for both species of fungi: For M. robertsii exposure, the mean survival time for R. flavipes (4.25 days) was significantly lower than for R. virginicus (5.83 days) (chi-square = 16.133, df = 1, p < 0.001); For M. brunneum exposure, the mean survival time for R. flavipes (4.17 days) was significantly lower than for R. virginicus (6.50 days) (chi-square = 20.994, df = 1, p < 0.001). 3.3. Antifungal Activity of Crude Extracts The two species of fungi were analyzed separately (the viability of conidia on PDA differs between the two species). For M. robertsii, mean colony-forming units (CFUs) among fungal and control treatments were significantly different (F = 18.08, df = 2, p < 0.001) (Figure 5a). Crude extracts of R. virginicus but not R. flavipes workers showed significant antifungal activity against M. robertsii compared to the control (adjusted p < 0.001 and p = 1.000, respectively). The antifungal activity of R. virginicus extracts against M. robertsii was significantly greater than the antifungal activity of R. flavipes extracts against M. robertsii (adjusted p < 0.001). For M. brunneum, mean CFUs (Figure 5b) among fungal and control treatments were significantly different (F = 27.26, df = 2, p < 0.001). Crude extracts of R. virginicus but not R. flavipes showed significant antifungal activity against M. brunneum compared to the control (adjusted p < 0.001 and p = 0.072, respectively). The antifungal activity of R. virginicus extracts against M. brunneum was significantly greater than the antifungal activity of R. flavipes against M. brunneum (adjusted p < 0.001).
3.3. Antischimmelactiviteit van ruwe extracten
De twee soorten schimmels werden afzonderlijk geanalyseerd (de levensvatbaarheid van conidia op PDA verschilt tussen de twee soorten). Voor M. robertsii waren de gemiddelde kolonievormende eenheden (CFU's) tussen schimmel- en controlebehandelingen significant verschillend (F=18.08, df=2, p < 0 .001) (Figuur 5a). Ruwe extracten van R. virginicus maar niet van R. flavipes-werknemers vertoonden significante antischimmelactiviteit tegen M. robertsii vergeleken met de controle (aangepast p < 0.001 en p=1.{{ 10}}, respectievelijk). De antischimmelactiviteit van extracten van R. virginicus tegen M. robertsii was significant groter dan de antischimmelactiviteit van extracten van R. flavipes tegen M. robertsii (aangepast p < 0,001). Voor M. brunneum waren de gemiddelde CFU's (Figuur 5b) onder schimmelbehandelingen en controlebehandelingen significant verschillend (F=27.26, df=2, p < 0,001). Ruwe extracten van R. virginicus maar niet van R. flavipes vertoonden significante antischimmelactiviteit tegen M. brunneum vergeleken met de controle (respectievelijk aangepast p < 0,001 en p=0.072). De antischimmelactiviteit van R. virginicus-extracten tegen M. brunneum was significant groter dan de antischimmelactiviteit van R. flavipes tegen M. brunneum (aangepast p < 0,001).

Figuur 2. Alarmreactie op schimmeluitdaging. Boxplots vertegenwoordigen de verdeling van LOM's (LOM's gescoord bij 709 met verf gemarkeerde individuen). Boxen komen overeen met de afstand tussen de bovenste en onderste kwartielen vanaf de mediaan (IQR). Snorharen komen overeen met 1,5 × IQR. Cirkels en sterretjes geven uitschieters weer boven respectievelijk 1,5 × IQR of 3 × IQR. Verschillende letters duiden op significante verschillen tussen de verdelingen voor schimmelbehandelingen en controlebehandelingen (aangepast door Bonferroni). Rf komt overeen met R. flavipes, Rv met R. virginicus, Mr met M. robertsii en Mb met M. brunneum.
3.4. Allogrooming onder uitgedaagde paren
De frequentie van allogrooming-aanvallen nam aanzienlijk af bij uitdagingen met schimmels (gemiddelde uitdaging {{0}}.55, gemiddelde controle=8.80, t=−4.461, p < {{20}}.001). De gemiddelde duur van allogrooming nam echter aanzienlijk toe bij uitdagingen met schimmels (gemiddelde uitdaging=19.01 s, gemiddelde controle=5.62 s, t=4.876, p < 0,001). De duur van allogrooming-aanvallen voor elke interactie tussen termietenparen verschilde aanzienlijk tussen behandelingen en controles (F=7.166, df=5, p < 0,001) (Figuur 6). De allogroomingduur per gebeurtenis was significant verhoogd bij R. flavipes-paren behandeld met M. robertsii (aangepast p < 0,001) of M. brunneum (aangepast p=0.037) vergeleken met controles, maar niet bij behandelde R. virginicus-paren met M. robertsii (aangepast p=1.000) of M. brunneum (aangepast p=1.000) ten opzichte van de controles.

Figuur 3. Het overlevingspercentage van twee termieten versus één werd vergeleken met de risicoratio's van sterfte (n=80 paren, 96 eenlingen). Rf komt overeen met R. flavipes, Rv met R. virginicus, Mr met M. robertsii en Mb met M. brunneum. De tijd werd loggetransformeerd voor de berekening van de R2-waarden.

Figuur 4. Overleving van afzonderlijke termieten na een schimmeluitdaging (n=96). Rf komt overeen met R. flavipes, Rv met R. virginicus, Mr met M. robertsii en Mb met M. brunneum. Zie de tekst voor details over statistische verschillen tussen behandelingen. Significante overlevingsverschillen voor paarsgewijze vergelijkingen waren gebaseerd op Breslow-tests (gegeneraliseerde Wilcoxon-tests). * Significant verschil tussen behandelingen (p < 0.025 Bonferroni aangepast).

Figuur 5. Antischimmelactiviteit van het ruwe extract tegen M. robertsii (a) en M. brunneum (b). Waarden boven de balken vertegenwoordigen gemiddelde CFU's (±SD), en verschillende letters duiden op significante verschillen (aangepast door Bonferroni). Rf komt overeen met R. flavipes en Rv met R. virginicus. Bij de analyse werden twee replicaties van vijf kolonies van elke termietensoort gebruikt, zes replicaties voor de Rf-controle en twee replicaties voor de Rv-controle.

Figuur 6. Duur van allogrooming per interactie (n=161 allogrooming-gebeurtenissen). Waarden boven de balken vertegenwoordigen de gemiddelde duur van allogrooming-interacties (±SD), en verschillende lettercombinaties duiden op significante verschillen (aangepast door Bonferroni). Rf komt overeen met R. flavipes, Rv met R. virginicus, Mr met M. robertsii en Mb met M. brunneum.
4. Discussie
R. flavipes vertrouwt in grotere mate op sociale verdedigingsmechanismen tegen lokale schimmelpathogenen dan R. virginicus. Voor R. flavipes-werknemers die werden uitgedaagd met een van beide Metarhizium-soorten, was er een sterke negatieve correlatie tussen de tijd die twee termieten samen doorbrachten en hun kans op overlijden in vergelijking met uitgedaagde afzonderlijke termieten. De risicoratio van sterfte ten opzichte van uitgedaagde afzonderlijke termieten werd in ongeveer twee uur gehalveerd (Figuur 3). Vroege sociale interacties lijken daarom van cruciaal belang om te overleven wanneer R. flavipes-werknemers lage concentraties Metarhizium conidia tegenkomen. Daarentegen vertoonden R. virginicus-werknemers een zwakke correlatie tussen de tijd die twee termieten samen doorbrachten en hun kans op overlijden. Ook verlengden R. flavipes werkerparen, in tegenstelling tot R. virginicus, de duur van allogrooming-aanvallen na een schimmeluitdaging aanzienlijk (Figuur 6). Detectie van conidia op de cuticula van nestgenoten heeft waarschijnlijk tot deze toename geleid. Een effectievere verwijdering van conidia van cuticulaire oppervlakken door de duur van allogrooming-aanvallen te verlengen lijkt verantwoordelijk te zijn voor de superieure sociale immuniteit van R. flavipes. Onze resultaten geven ook aan dat R. virginicus in grotere mate afhankelijk is van individuele aangeboren verdedigingsmechanismen tegen lokale schimmelpathogenen dan R. flavipes. De mortaliteit van individuele R. flavipes-werknemers die werden uitgedaagd met een van de Metarhizium-soorten was aanzienlijk hoger dan de sterfte van R. virginicus-werknemers (Figuur 4). Eerder is aangetoond dat de antischimmelactiviteit van de cuticulaire wasmiddelen van R. virginicus tegen Metarhizium conidia aanzienlijk sterker is dan de activiteit van R. flavipes-werkers [20]. De antischimmelactiviteit van ruwe extracten van hele termieten was ook sterker in R. virginicus dan in R. flavipes (Figuur 5). Deze extracten omvatten verbindingen van darmsymbionten, die, samen met termieten-antischimmelmiddelen, ook kunnen bijdragen aan het elimineren van ingenomen conidia [26]. De variatie in de risicoratio's van overlijden en hun zwakke correlatie met de scheidingstijden bij R. virginicus-werknemers komt overeen met een grotere afhankelijkheid van aangeboren immuunafweermechanismen die van persoon tot persoon verschillen, in plaats van van sociale immuunmechanismen. R. flavipes vertoonde ook een grotere afhankelijkheid van sociale immuniteit wanneer groepen van 12 werknemers kortstondig werden blootgesteld aan hoge concentraties M. robertsii conidia. Onmiddellijk na blootstelling aan M. robertsii conidia vertoonden beide termietensoorten verhoogde LOM's. Deze alarmactiviteit was significant hoger bij R. flavipes dan bij R. virginicus (Figuur 2), en de resistentie tegen dodelijke infecties was ook significant hoger bij R. flavipes dan bij R. virginicus (Figuur 1). Daarentegen was er een verhoogde maar zwakke alarmreactie op M. brunneum conidia. In overeenstemming met dit resultaat is eerder aangetoond dat verhoogd alarm bij R. flavipes als reactie op de conidia van verschillende Metarhizium-stammen en -soorten gecorreleerd is met verhoogde allogrooming en overleving [23]. Werknemers van R. flavipes hebben mogelijk een lagere drempel dan werknemers van R. virginicus voor het herkennen en collectief en effectief reageren op cuticulaire besmetting met M. robertsii conidia. M. robertsii, de meest voorkomende Metarhizium-soort op onze onderzoekslocatie [24], kan een bedreiging vormen voor R. flavipes waarvoor een sterke sociale immuunrespons vereist is, omdat deze termiet een relatief zwak aangeboren immuunsysteem ertegen heeft. De effectiviteit van antischimmelverbindingen die verband houden met speekselklierafscheiding is waarschijnlijk essentieel voor de individuele afweer die in dit onderzoek is waargenomen [20]. Deze verbindingen zijn aanwezig op het oppervlak van de werknemers voorafgaand aan schimmeluitdagingen, omdat ze constitutief tot expressie worden gebracht en voortdurend worden verspreid door basale niveaus van allogrooming, die daarom individuele en sociale verdedigingsmechanismen integreert. Deze gestalt omvat waarschijnlijk het kleine defensine-achtige antischimmelpeptide termicine, dat wordt uitgescheiden in de speekselklier en van cruciaal belang is voor de verdediging tegen dodelijke infecties door Metarhizium [27]. Uit een onderzoek naar R. flavipes en R. virginicus uit dezelfde verzamelplaats in Maryland als gebruikt in dit onderzoek bleek dat termicines onlangs te maken kregen met een selectieve aanpak die resulteerde in een vermindering van het nucleotidepolymorfisme, en deze vermindering was groter bij R. flavipes dan bij R. virginicus [28].

cistanche tubulosa-verbetering van het immuunsysteem
De gevolgen kunnen voor R. flavipes ernstiger zijn geweest, en zullen dat nog steeds zijn, omdat R. virginicus over effectievere aangeboren immuunmechanismen beschikt, waardoor de afhankelijkheid van termicines voor de verdediging tegen een recente schimmelepidemie is verminderd. Als alternatief kunnen adaptieve beperkingen op de evolutie van termieten (gebrek aan genetische variatie) R. flavipes met zwakkere wapens hebben achtergelaten in het licht van een nieuwe schimmelepidemie. Beperking van adaptieve verandering in termicines onder sterke selectieve druk is ook duidelijk in Australische Nasutitermes [29]. Het stochastische proces van genduplicatie lijkt deze beperking in verschillende nasute-lijnen te hebben opgeheven, wat resulteerde in de herhaalde evolutie van twee termicines met verschillende moleculaire ladingen. Dit kan de antischimmelverdediging ten goede zijn gekomen, omdat twee terminals met verschillende ladingseigenschappen de mogelijkheden beperken voor de ontwikkeling van schimmelresistentie daartegen. Termieten die alarm vertoonden na blootstelling aan een hoge dosis conidia hadden minder kans om binnen twee weken te sterven dan individuen die geen alarm vertoonden. LOM's zijn positief gecorreleerd met de aggregatie van R. flavipes-werkers en allogrooming [23], wat suggereert dat individuen die in dit onderzoek alarm vertoonden meer verzorging van nestgenoten vroegen. LOM's worden zelden gerapporteerd in onderzoek naar Metarhizium-infecties bij termieten en worden buiten beschouwing gelaten omdat ze een rol spelen bij het signaleren van blootstelling aan pathogenen [30]. Ze kunnen echter over het hoofd worden gezien omdat ze niet voorkomen bij geïsoleerde individuen, niet substantieel worden uitgelokt door bepaalde stammen en soorten Metarhizium, het ongeveer 3 minuten duurt na een uitdaging voordat ze escaleren, en na ongeveer 30 minuten verdwijnen [22,23]. Onze resultaten suggereren dat LOM's een noodalarm communiceren na blootstelling aan een hoge dosis conidia, die worden gedetecteerd tijdens allogrooming. LOM's zijn echter niet nodig voor een proactieve gedragsreactie, aangezien de duur van allogrooming toenam na blootstelling aan een lage dosis toen de LOM's verwaarloosbaar waren.
5. Conclusies
LOM's lijken deel uit te maken van een noodreactie op zware cuticulaire besmetting, waarbij gebruik wordt gemaakt van netwerkcommunicatie om de verwijdering en vernietiging van de meeste conidia snel te laten escaleren voordat ze de kans krijgen zich stevig te hechten en te ontkiemen, wat ongeveer twaalf uur duurt [31]. Deze noodhulp zal waarschijnlijk energetisch duur zijn. Verbeterde sociale immuniteit bij R. flavipes als reactie op M. robertsii kan een adaptieve afweging zijn die R. virginicus niet in dezelfde mate hoeft te maken omdat het effectievere aangeboren immuunmechanismen heeft. Wanneer ze worden geconfronteerd met lage niveaus van blootstelling aan ziekteverwekkers waar foeragerende werknemers routinematig aan moeten weerstaan, lijkt allogrooming ook de zwakke aangeboren immuunmechanismen te compenseren.
Referenties
1. Cremer, S.; Trek, CD; Fuerst, MA Sociale immuniteit: opkomst en evolutie van ziektebescherming op kolonieniveau. Jaar. Ds. Entomol. 2018, 63, 105–123. [Kruisref] [PubMed] 2. Cremer, S.; Armitage, SA; Schmid-Hempel, P. Sociale immuniteit. Huidig Biol. 2007, 17, R693-R702. [Kruisref] [PubMed]
3. Evans, JD; Aronstein, K.; Chen, YP; Hetru, C.; Imler, JL; Jiang, H.; Kanost, M.; Thompson, GJ; Zou, Z.; Hultmark, D. Immuunroutes en afweermechanismen bij honingbijen Apis mellifera. Insect Mol. Biol. 2006, 15, 645-656. [Kruisref] [PubMed]
4. Harpur, BA; Zayed, A. Versnelde evolutie van aangeboren immuniteitseiwitten bij sociale insecten: adaptieve evolutie of ontspannen beperking? Mol. Biol. Evolueren 2013, 30, 1665–1674. [Kruisref] [PubMed]
5. Hij, S.; Sieksmeyer, T.; Che, Y.; Mora, MAE; Stiblik, P.; Banasiak, R.; Harrison, MC; Šobotník, J.; Wang, Z.; Johnston, PR; et al. Bewijs voor verminderde diversiteit en activiteit van immuungenen tijdens de evolutie van termieten. Proc. R. Soc. Ser. B 2021, 288, 20203168. [Kruisref]
6. Bulmer, MS; Stefano, AM Termieten-eusocialiteit en contrasterende selectieve druk op sociale en aangeboren immuniteit. Gedrag Ecol. Sociobiol. 2022, 76, 1–12. [Kruisref]
7. Yanagawa, A.; Shimizu, S. Weerstand van de termiet, Coptotermes formosanus Shiraki tegen Metarhizium anisopliae als gevolg van verzorging. BioControl 2007, 52, 75-85. [Kruisref]
8. Rosengaus, RB; Traniello, JF; Bulmer, MS Ecologie, gedrag en evolutie van ziekteresistentie bij termieten. In de biologie van termieten: een moderne synthese; Bignell, DE, Roisin, Y., Lo, N., Eds.; Springer: Londen, VK, 2011; blz. 165–192.
9. Zhukovskaya, M.; Yanagawa, A.; Forschler, BT Verzorgingsgedrag als mechanisme voor de verdediging tegen insectenziekten. Insecten 2013, 4, 609–630. [Kruisref]
10. Milner, RJ Selectie en karakterisering van stammen van Metarhizium anisopliae voor de bestrijding van bodeminsecten in Australië. In de biologische bestrijding van sprinkhanen en sprinkhanen; Lomer, CJ, Prior, C., red.; CAB International: Wallingford, VK, 1991; blz. 200–207.
11. Traniello, JF; Leuthold, RH Gedrag en ecologie van het foerageren bij termieten. In Termieten: evolutie, socialiteit, symbiose, ecologie; Abe, T., Bignell, DE, Higashi, M., Higashi, T., Abe, Y., Eds.; Springer: Dordrecht, Nederland, 2000; blz. 141–168.
12. Vargo, E.; Husseneder, C. Biologie van ondergrondse termieten: inzichten uit moleculaire studies van Reticulitermes en Coptotermes. Jaar. Ds. Entomol. 2009, 54, 379-403. [Kruisref]
13. Abe, T. Evolutie van levenstypen bij termieten. In evolutie en co-adaptatie in biotische gemeenschappen; Kowana, S., Connell, JH, Hidaka, T., Eds.; Universiteit van Tokyo Press: Tokio, Japan, 1987; blz. 128–148.
14. Shellman-Reeve, JS Het spectrum van eusocialiteit bij termieten. In de evolutie van sociaal gedrag bij insecten en spinachtigen; Choe, JC, Crespi, BJ, Eds.; Cambridge University Press: Cambridge, VK, 1997; blz. 52–93.
15. Griffiths, HM; Eggleton, P.; Hemming-Schroeder, N.; Swinfield, T.; Woon, JS; Allison, SD; Coomes, DA; Ashton, LA; Parr, CL Koolstofflux en bosdynamiek: verhoogde afbraak van dood hout in boomvalkloven in tropisch regenwoud. Glob. Chang. Biol. 2001, 27, 1601–1613. [Kruisref]
16. Guo, C.; Tuo, B.; Ci, H.; Yan, eerste hulp; Cornelissen, JH Dynamische feedback tussen functionele eigenschappen van bomen, termietenpopulaties en omzet van dood hout. J. Ecol. 2021, 109, 578–1590. [Kruisref]
17. Zanne, AE; Flores-Moreno, H.; Powell, JR; Cornwell, WK; Dalling, JW; Austin, AT; Classen, AT; Eggleton, P.; Okada, KI; Parr, CL; et al. De gevoeligheid van termieten voor temperatuur beïnvloedt de mondiale houtrotsnelheid. Wetenschap 2022, 377, 1440–1444. [Kruisref] [PubMed]
18. Liu, L.; Wang, W.; Liu, Y.; Zon, P.; Lei, C.; Huang, Q. De invloed van allogroominggedrag op de individuele aangeboren immuniteit in de ondergrondse termiet Reticulitermes chinensis (Isoptera: Rhinotermitidae). J. Insectenwetenschap. 2019, 19, 6. [Kruisref] [PubMed]
19. Polizzi, JM; Forschler, BT Intra- en interspecifiek agonisme in Reticulitermes flavipes (Kollar) en R. virginicus (Banks) en effecten van arena en groepsgrootte in laboratoriumtests. Insectes Sociaux 1998, 45, 43-49. [Kruisref]
20. Hamilton, C.; Leg, F.; Bulmer, MS Ondergrondse profylactische afscheidingen van termieten en externe antischimmelverdediging. J. Insectenfysiol. 2011, 57, 1259–1266. [Kruisref]
21. Rosengaus, RB; Jordanië, C.; Lefebvre, ML; Traniello, JFA Pathogeenalarmgedrag bij een termiet: een nieuwe vorm van communicatie bij sociale insecten. Wetenschap Nat. 1999, 86, 544–548. [Kruisref]
22. Myles, TG Alarm, aggregatie en verdediging door Reticulitermes flavipes als reactie op een natuurlijk voorkomend isolaat van Metarhizium anisopliae. Sociobiologie 2002, 40, 243–256.
23. Bulmer, lidstaten; Franco, BA; Velden, EG Ondergrondse termieten, sociaal alarm en hygiënische reacties op schimmelpathogenen. Insecten 2019, 10, 240. [Kruisref]
24. Denier, D.; Bulmer, MS Variatie in de gevoeligheid van ondergrondse termieten voor dodelijke infecties door lokale Metarhizium-bodemisolaten. Insectes Sociaux 2015, 62, 219–226. [Kruisref]
25. Bischoff, JF; Rehner, SA; Humber, RA Een multilocus-fylogenie van de Metarhizium anisopliae-lijn. Mycologie 2018, 101, 512–530. [Kruisref]
26. Rosengaus, RB; Schultheis, KF; Yalonetskaya, A.; Bulmer, MS; DuComb, WS; Benson, RW; Thottam, JP; Godoy-Carter, V. Van Symbiont afgeleide -1, 3-glucanasen in een sociaal insect: mutualisme voorbij voeding. Voorkant. Microbiol. 5, 607 2014. [Kruisref] [PubMed]
27. Hamilton, C.; Bulmer, MS Moleculaire antischimmelverdediging bij ondergrondse termieten: RNA-interferentie onthult in vivo rollen van terminus en GNBP's tegen een natuurlijk aangetroffen pathogeen. Ontwikkelaar Comp. Immunol. 2012, 36, 372-377. [Kruisref] [PubMed]
28. Bulmer, lidstaten; Leg, F.; Hamilton, C. Adaptieve evolutie in ondergrondse termieten-antischimmelpeptiden. Insect Mol. Biol. 2010, 19, 669-674. [Kruisref] [PubMed]
29. Bulmer, MS; Crozier, RH Duplicatie en diversificatie van de selectie tussen termieten-antischimmelpeptiden. Mol. Biol. Evolueren 2004, 21, 2256–2264. [Kruisref]
30. Moran, MN; Agüero, CM; Eyer, PA; Vargo, EL Reddingsstrategie in een termiet: Werknemers die zijn blootgesteld aan een schimmelpathogeen worden opnieuw in de kolonie geïntegreerd. Voorkant. Ecol. Evolueren 10, 2022, 840223. [Kruisref]
31. Davis, HIJ; Meconcelli, S.; Radek, R.; McMahon, DP Termieten vormen hun collectieve gedragsreactie op basis van het stadium van de infectie. Wetenschap Rep. 8, 2018, 14433. [Kruisref]
